Thông tư 03/2025/TT-BLĐTBXH được ban hành nhằm cập nhật và hoàn thiện các quy định về phân loại lao động theo điều kiện lao động, từ ngày 01/04/2025 khi thông tư 03/2025/TT-BLĐTBXH có hiệu lực sẽ thay thế cho Thông tư 29/2021/TT-BLĐTBXH. Việc áp dụng Thông tư mới giúp nâng cao hiệu quả trong việc đánh giá, phân loại và cải thiện điều kiện lao động cho người lao động.

Đối chiếu so sánh Thông tư 03/2025/TT-BLĐTBXH và Thông tư 29/2021/TT-BLĐTBXH Quy định tiêu chuẩn Phân loại lao động theo điều kiện lao động
| Stt | Thông tư 03/2025/TT-BLĐTBXH | Thông tư 29/2021/TT-BLĐTBXH |
| Điều 1. Phạm vi điều chỉnhThông tư này quy định tiêu chuẩn phân loại lao động theo điều kiện lao động. | Điều 1. Phạm vi điều chỉnhThông tư này quy định tiêu chuẩn phân loại lao động theo điều kiện lao động. | |
| Điều 2. Đối tượng áp dụng1. Người sử dụng lao động, người lao động theo quy định tại Điều 2 Luật An toàn, vệ sinh lao động.
2. Tổ chức thực hiện đánh giá, phân loại lao động theo điều kiện lao động. 3. Tổ chức, cá nhân khác có liên quan đến hoạt động đánh giá, phân loại lao động theo điều kiện lao động. |
Điều 2. Đối tượng áp dụng1. Cơ quan, tổ chức, cá nhân thực hiện phân loại lao động theo điều kiện lao động.
2. Người sử dụng lao động theo quy định tại khoản 5 Điều 2 Luật An toàn, vệ sinh lao động |
|
| Điều 3. Phân loại lao động theo điều kiện lao động1. Loại điều kiện lao động
a) Nghề, công việc đặc biệt nặng nhọc, độc hại, nguy hiểm là nghề, công việc có điều kiện lao động được xếp loại V, VI. b) Nghề, công việc nặng nhọc, độc hại, nguy hiểm là nghề, công việc có điều kiện lao động được xếp loại IV. c) Nghề, công việc không nặng nhọc, không độc hại, không nguy hiểm là nghề, công việc có điều kiện lao động được xếp loại I, II, III. 2. Nguyên tắc phân loại lao động theo điều kiện lao động Việc phân loại lao động theo điều kiện lao động phải dựa trên kết quả đánh giá xác định điều kiện lao động theo phương pháp quy định tại Thông tư này. |
Điều 3. Phân loại lao động theo điều kiện lao động1. Điều kiện lao động gồm 6 loại như sau:
a) Loại I b) Loại II c) Loại III d) Loại IV đ) Loại V e) Loại VI 2. Nghề, công việc có điều kiện lao động loại I II, III là nghề, công việc không nặng nhọc, không độc hại, không nguy hiểm; nghề, công việc có điều kiện lao động được xếp loại IV là nghề, công việc nặng nhọc, độc hại, nguy hiểm; nghề, công việc có điều kiện lao động được xếp loại V, VI là nghề, công việc đặc biệt nặng nhọc, độc hại, nguy hiểm. |
|
| Điều 4. Mục đích sử dụng phương pháp phân loại lao động theo điều kiện lao độngPhương pháp phân loại lao động theo điều kiện lao động ban hành kèm theo Thông tư này được sử dụng với mục đích như sau:
1. Xây dựng, sửa đổi, bổ sung hoặc đưa ra khỏi Danh mục nghề, công việc nặng nhọc, độc hại, nguy hiểm và nghề, công việc đặc biệt nặng nhọc, độc hại, nguy hiểm (sau đây gọi tắt là Danh mục nghề). 2. Phân loại lao động theo điều kiện lao động đối với nghề, công việc nặng nhọc, độc hại, nguy hiểm và nghề, công việc đặc biệt nặng nhọc, độc hại, nguy hiểm thuộc trách nhiệm của người sử dụng lao động để thực hiện các chế độ bảo hộ lao động và chăm sóc sức khoẻ đối với người lao động theo quy định tại khoản 3 Điều 22 của Luật An toàn, vệ sinh lao động. |
||
| Điều 5. Tổ chức đánh giá điều kiện lao độngTổ chức đánh giá điều kiện lao động phải là tổ chức đủ điều kiện hoạt động quan trắc môi trường lao động theo quy định của Luật An toàn, vệ sinh lao động. | ||
| Điều 6. Tiêu chuẩn, phương pháp phân loại điều kiện lao động | Điều 6. Tiêu chuẩn, phương pháp phân loại điều kiện lao động | |
| Loại, điều kiện lao động quy định tại Điều 3 thông tư này được đánh giá, xếp loại theo các phương pháp sau:1. Phương pháp đánh giá, tính điểm:
Phương pháp này được thực hiện theo quy trình sau: a) Xác định tên nghề, công việc cần đánh giá, xác định điều kiện lao động, quy mô lấy mẫu: Việc lấy mẫu đối với mỗi nghề, công việc phải bảo đảm quy mô lấy mẫu theo quy định về thống kê, nghiên cứu, phải được thực hiện phù hợp với từng loại hình, quy mô của cơ sở sản xuất, kinh doanh, dịch vụ và đại diện vùng, miền lấy mẫu. Sử dụng công thức sau:
Trong đó: n: số lượng mẫu cần xác định N: Quy mô tổng thể (Tổng số người làm nghề, công việc cần đo đánh giá trong ngành, lĩnh vực hoặc trong doanh nghiệp). e: Sai số cho phép – Khi tính cỡ mẫu cho toàn ngành thì sai số e cho phép không quá 10% – Khi tính cỡ mẫu trong một doanh nghiệp cụ thể của từng ngành thì sai số e cho phép không quá 20% đối với doanh nghiệp có dưới 1.000 người lao động làm nghề, công việc được đánh giá; không quá 10% đối với doanh nghiệp có từ 1.000 người lao odongj làm nghề, công việc được đánh giá. |
Thực hiện việc đánh giá, xác định điều kiện lao động theo quy trình sau:1. Xác định tên nghề, công việc cần đánh giá, xác định điều kiện lao động. | |
| b) Đánh giá điều kiện lao động theo hệ thống chỉ tiêu về điều kiện lao động:Bước 1: Xác định các yếu tố có tác động sinh học đến người lao động trong hệ thống chỉ tiêu về điều kiện lao động quy định tại Phụ lục I ban hành kèm theo Thông tư này (sau đây gọi tắt là Phụ lục I).
Bước 2: Lựa chọn ít nhất 06 (sáu) yếu tố đặc trưng tương ứng với mỗi nghề, công việc. Các yếu tố này phải bảo đảm phản ánh đủ 3 nhóm yếu tố trong hệ thống chỉ tiêu về điều kiện lao động quy định tại Phụ lục I. Bước 3: Chọn 01 (một) chỉ tiêu đối với mỗi yếu tố đặc trưng đã chọn tại Bước 2 để tiến hành đánh giá và cho điểm, trên cơ sở bảo đảm các nguyên tắc sau đây: – Thang điểm để đánh giá mức độ nặng nhọc, độc hại, nguy hiểm của từng yếu tố là thang điểm 6 (sáu) quy định tại Phụ lục I. Mức độ nặng nhọc, độc hại, nguy hiểm càng lớn thì điểm càng cao. – Thời gian tiếp xúc của người lao động với các yếu tố dưới 50% thời gian của ca làm việc thì điểm số hạ xuống 01 (một) điểm. Đối với hóa chất độc, điện từ trường, rung, ồn, bức xạ ion hóa, thay đổi áp suất, yếu tố gây bệnh truyền nhiễm thì điểm xếp loại hạ xuống 01 (một) điểm khi thời gian tiếp xúc dưới 25% thời gian của ca làm việc. – Đối với các yếu tố quy định thời gian tiếp xúc cho phép thì hạ xuống 01 (một) điểm nếu thời gian tiếp xúc thực tế khi làm việc dưới 50% thời gian tiếp xúc cho phép. – Đối với những yếu tố có thể sử dụng nhiều chỉ tiêu (từ 02 chỉ tiêu trở lên) để đánh giá thì chỉ chọn 01 chỉ tiêu chính để đánh giá và cho điểm; có thể đánh giá các chỉ tiêu khác nhằm tham khảo, bổ sung thêm số liệu cho chỉ tiêu chính. – Việc áp dụng kết quả quan trắc môi trường lao động định kỳ đối với nhóm yếu tố vệ sinh môi trường lao động phải đảm bảo tính phù hợp về quy mô mẫu, vị trí lấy mẫu, thời điểm lấy mẫu phù hợp với việc đánh giá phân loại điều kiện lao động. Bước 4: Tính điểm trung bình các yếu tố theo công thức:
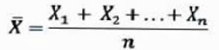
Trong đó: Điểm trung bình cộng của các yếu tố. n: Số lượng yếu tố đã tiến hành đánh giá tại Bước 3 (n≥6) X1, X2,…Xn: Điểm của yếu tố thứ nhất, thứ hai,…,thứ n. đ) Bước 5: Tổng hợp kết quả vào phiếu theo mẫu quy định tại Phụ lục II ban hành kèm theo Thông tư này và xác định điều kiện lao động theo điểm trung bình các yếu tố () như sau: – ≤ 1,01: Điều kiện lao động loại I; – 1,01 <≤ 2,22: Điều kiện lao động loại II; – 2,22 <≤ 3,37: Điều kiện lao động loại III; – 3,37 <≤ 4,56: Điều kiện lao động loại IV; – 4,56 <≤ 5,32: Điều kiện lao động loại V; – > 5,32: Điều kiện lao động loại VI. |
2. Đánh giá điều kiện lao động theo hệ thống chỉ tiêu về điều kiện lao động:a) Bước 1: Xác định các yếu tố có tác động sinh học đến người lao động trong hệ thống chỉ tiêu về điều kiện lao động quy định tại Phụ lục I ban hành kèm theo Thông tư này (sau đây gọi tắt là Phụ lục I).
b) Bước 2: Lựa chọn ít nhất 06 (sáu) yếu tố đặc trưng tương ứng với mỗi nghề, công việc. Các yếu tố này phải bảo đảm phản ánh đủ 3 nhóm yếu tố trong hệ thống chỉ tiêu về điều kiện lao động quy định tại Phụ lục I. c) Bước 3: Chọn 01 (một) chỉ tiêu đối với mỗi yếu tố đặc trưng đã chọn tại Bước 2 để tiến hành đánh giá và cho điểm, trên cơ sở bảo đảm các nguyên tắc sau đây: – Thang điểm để đánh giá mức độ nặng nhọc, độc hại, nguy hiểm của từng yếu tố là thang điểm 6 (sáu) quy định tại Phụ lục I. Mức độ nặng nhọc, độc hại, nguy hiểm càng lớn thì điểm càng cao. – Thời gian tiếp xúc của người lao động với các yếu tố dưới 50% thời gian của ca làm việc thì điểm số hạ xuống 01 (một) điểm. Đối với hóa chất độc, điện từ trường, rung, ồn, bức xạ ion hóa, thay đổi áp suất, yếu tố gây bệnh truyền nhiễm thì điểm xếp loại hạ xuống 01 (một) điểm khi thời gian tiếp xúc dưới 25% thời gian của ca làm việc. – Đối với các yếu tố quy định thời gian tiếp xúc cho phép thì hạ xuống 01 (một) điểm nếu thời gian tiếp xúc thực tế khi làm việc dưới 50% thời gian tiếp xúc cho phép. – Đối với những yếu tố có thể sử dụng nhiều chỉ tiêu (từ 02 chỉ tiêu trở lên) để đánh giá thì chỉ chọn 01 chỉ tiêu chính để đánh giá và cho điểm; có thể đánh giá các chỉ tiêu khác nhằm tham khảo, bổ sung thêm số liệu cho chỉ tiêu chính. d) Bước 4: Tính điểm trung bình các yếu tố theo công thức: Trong đó: Điểm trung bình cộng của các yếu tố. n: Số lượng yếu tố đã tiến hành đánh giá tại Bước 3 (n≥6) X1, X2,…Xn: Điểm của yếu tố thứ nhất, thứ hai,…,thứ n. đ) Bước 5: Tổng hợp kết quả vào phiếu theo mẫu quy định tại Phụ lục II ban hành kèm theo Thông tư này và xác định điều kiện lao động theo điểm trung bình các yếu tố () như sau: – ≤ 1,01: Điều kiện lao động loại I; – 1,01 <≤ 2,22: Điều kiện lao động loại II; – 2,22 <≤ 3,37: Điều kiện lao động loại III; – 3,37 <≤ 4,56: Điều kiện lao động loại IV; – 4,56 <≤ 5,32: Điều kiện lao động loại V; – > 5,32: Điều kiện lao động loại VI. |
|
| 2. Phương pháp kháca) Phương pháp thống kê, kinh nghiệm
Căn cứ vào điều kiện lao động đặc trưng của mỗi nghề, công việc thuộc Danh mục nghề, công việc nặng nhọc, độc hại, nguy hiểm và nghề, công việc đặc biệt nặng nhọc, độc hại, nguy hiểm (sau đây gọi tắt là Danh mục nghề) đã được Bộ Lao Động Thương Binh và Xã Hội ban hành để xác định loại điều kiện lao động cho các nghề, công việc được đánh giá. b) Phương pháp kết hợp Kết hợp phương pháp đánh giá, tính điểm quy định tại khoản 1 điều này với phương pháp thống kê, kinh nghiệm quy định tại điểm a khoản 2 Điều này và lấy ý kiến của Bộ quản lý ngành lĩnh vực, các chuyên gia, nhà khoa học để tổng hợp kết quả. c) Các phướng pháp quy định tại khoản này áp dụng đối nghề, công việc sau: – Nghề, công việc có yếu tố thiệt hại tới tính mạng, sức khỏe của người lao động nhưng không thể xác định đủ 06 yếu tố đặc trưng hoặc không đủ 03 nhóm yếu tố trong hệ thống chỉ tiêu về điều kiện lao động quy định tại Phụ lục I ban hành kèm thông tư này. – Nghề, công việc có tính chất nguy hiểm tới tính mạng, sức khỏe, môi trường; tiếp xúc với hóa chất độc bảng A, phóng xạ. Căn cứ vào các vào các yếu tố tiếp xúc nghề nghiệp, số liệu thống kê tai nạn lao động, bệnh nghề nghiệp, bệnh tật của nghề, công việc và kết quả tổng hợp theo phương pháp kết hợp này, Bộ Lao động thương binh và xã hội quyết định xếp loại điều kiện lao động đối với nghề, công việc được đánh giá theo phương pháp quy định tại Khoản 2 điều này. |
||
| Điều 5: Trách nhiệm của bộ quản lý ngành, lĩnh vực, người sử dụng lao động và các cơ quan liên quan 2. Hằng năm các bộ quản lý ngành, lĩnh vực chủ động rà soát điều kiện lao động của các nghề, công việc thuộc ngành, lĩnh vực của mình; nếu cần xác định loại điều kiện lao động thì thực hiện theo phương pháp quy định tại Điều 4 thông tư này. | Điều 7. Trách nhiệm của Cục An toàn lao động1. Căn cứ đề xuất của người sử dụng lao động và bộ quản lý ngành, lĩnh vực, Cục An toàn lao động chủ trì, phối hợp với các cơ quan liên quan thuộc các bộ quản lý ngành, lĩnh vực và các cơ quan, tổ chức nghiên cứu về an toàn, vệ sinh lao động thực hiện rà soát, đánh giá Danh mục nghề để đề xuất Bộ trưởng Bộ Lao động – Thương binh và Xã hội xem xét quyết định việc sửa đổi, bổ sung hoặc đua ra khỏi Danh mục nghề theo quy định tại Điều 22 Luật An toàn, vệ sinh lao động.
2. Thực hiện thanh tra, kiểm tra, giám sát thường xuyên, định kỳ và đột xuất hoạt động đánh giá điều kiện lao động theo quy định của pháp luật. |
|
| Điều 8. Trách nhiệm của Sở Lao động – Thương binh và Xã hội1. Phối hợp với các cơ quan liên quan phổ biến, hướng dẫn các doanh nghiệp trên địa bàn thực hiện Thông tư này.
2. Thanh tra, kiểm tra, báo cáo về hoạt động đánh giá điều kiện lao động trên địa bàn theo quy định của pháp luật. |
||
| Điều 5: Trách nhiệm của bộ quản lý ngành, lĩnh vực, người sử dụng lao động và các cơ quan liên quan 3. Trường hợp phát sinh nghề, công việc mới có yếu tố nặng nhọc, độc hại nguy hiểm thì bộ quản lý ngành, lĩnh vực, người sử dụng lao động thực hiện đánh giá, xếp loại điều kiện lao động thực hiện đánh giá, xếp loại điều kiện lao động theo quy định thông tư này để xác định loại điều kiện lao động của nghề, công việc đó. | Điều 9. Sửa đổi, bổ sung hoặc đưa ra khỏi Danh mục nghề, công việc nặng nhọc, độc hại, nguy hiểm và nghề, công việc đặc biệt nặng nhọc, độc hại, nguy hiểm1. Việc sửa đổi, bổ sung hoặc đưa ra khỏi Danh mục nghề phải bảo đảm các nguyên tắc sau:
a) Việc rà soát, đánh giá phải được thực hiện đối với nghề, công việc thuộc ngành, lĩnh vực cụ thể. b) Quá trình chọn mẫu để rà soát, đánh giá phải được thực hiện phù hợp với từng loại hình, quy mô của cơ sở sản xuất, kinh doanh, dịch vụ và đại diện vùng, miền lấy mẫu. c) Kết quả rà soát, đánh giá, phân loại lao động theo điều kiện lao động được sử dụng để đề xuất sửa đổi, bổ sung hoặc đưa ra khỏi Danh mục nghề là kết quả rà soát, đánh giá được thực hiện trong thời gian không quá 12 tháng cho đến tháng đề xuất. 2. Căn cứ vào kết quả phân loại lao động theo phương pháp được quy định tại Thông tư này, trường hợp cần thiết sửa đổi, bổ sung hoặc đưa ra khỏi Danh mục nghề thì người sử dụng lao động có văn bản gửi bộ quản lý ngành, lĩnh vực có liên quan để xem xét, tổng hợp, đồng thời gửi Bộ Lao động – Thương binh và Xã hội. Tài liệu gửi kèm văn bản đề xuất sửa đổi, bổ sung hoặc đưa ra khỏi Danh mục nghề, công việc nặng nhọc, độc hại, nguy hiểm và nghề, công việc đặc biệt nặng nhọc độc hại, nguy hiểm: a) Tóm tắt hiện trạng các chức danh nghề, công việc đặc thù của ngành, lĩnh vực và so sánh với Danh mục nghề do Bộ trưởng Bộ Lao động – Thương binh và Xã hội ban hành; lý do đề xuất bổ sung, sửa đổi. b) Số liệu đo, đánh giá các yếu tố đặc trưng về điều kiện lao động đối với các chức danh nghề, công việc đề nghị bổ sung, sửa đổi và phiếu ghi tổng hợp kết quả theo mẫu quy định tại Phụ lục II ban hành kèm theo Thông tư này. c) Bảng tổng hợp đề xuất sửa đổi, bổ sung việc phân loại nghề, công việc nặng nhọc, độc hại, nguy hiểm và nghề, công việc đặc biệt nặng nhọc, độc hại, nguy hiểm theo mẫu quy định tại Phụ lục III ban hành kèm theo Thông tư này. 3. Bộ quản lý ngành, lĩnh vực rà soát nghề, công việc nặng nhọc, độc hại, nguy hiểm và nghề, công việc đặc biệt nặng nhọc, độc hại, nguy hiểm thuộc ngành, lĩnh vực quản lý; xem xét ý kiến của người sử dụng lao động để đề xuất sửa đổi, bổ sung Danh mục nghề phù hợp với sự phát triển kinh tế – xã hội, khoa học công nghệ và quản lý trong từng thời kỳ, gửi Bộ Lao động – Thương binh và Xã hội.
|
|
| Điều 5: Trách nhiệm của bộ quản lý ngành, lĩnh vực, người sử dụng lao động và các cơ quan liên quan 1. Người sử dụng lao động phải kiểm soát các yếu tố nguy hiểm, yếu tố có hại theo quy định tại Chương II Nghị định 39/2016/NĐ-CP ngày 15 tháng 05 năm 2016 của Chính phủ quy định chi tiết và hướng dẫn thi hành một số điều của Luật An toàn, vệ sinh lao động; căn cứ vào kết quả quan trắc môi trường lao động và kết quả phòng chống các yếu tố nguy hiểm, yếu tố có hại để đánh giá việc cải thiện điều kiện lao động của các nghề, công việc đang áp dụng; nếu cần xác định loại điều kiện lao động thì thực hiện theo Phương pháp Quy định tại Điều 4 Thông tư này. | Điều 10. Trách nhiệm của người sử dụng lao động và các cơ quan liên quan1. Người sử dụng lao động thực hiện rà soát, đánh giá, phân loại lao động lần đầu và khi có sự thay đổi về công nghệ, quy trình tổ chức sản xuất dẫn đến việc thay đổi về điều kiện lao động hoặc khi thực hiện đánh giá nguy cơ rủi ro về an toàn, vệ sinh lao động theo quy định của Luật An toàn, vệ sinh lao động mà phát hiện những yếu tố nguy hiểm, có hại mới phát sinh so với lần đánh giá trước đó nhưng phải bảo đảm thực hiện rà soát, đánh giá, phân loại điều kiện lao động tối thiểu 01 lần trong vòng 05 năm.
2. Đối với nghề, công việc tại nơi làm việc thuộc Danh mục nghề đã được người sử dụng lao động thực hiện các biện pháp loại trừ, giảm thiểu tác động của các yếu tố nặng nhọc, độc hại, nguy hiểm thì người sử dụng lao động tổ chức đánh giá, phân loại lao động và đề xuất về Bộ Lao động – Thương binh và Xã hội để được xem xét, có ý kiến về kết quả đánh giá, phân loại lao động. Trong đó phải gửi kèm các tài liệu quy định tại khoản 2 Điều 9 Thông tư này. 3. Tổ chức đánh giá, phân loại lao động theo phương pháp phân loại lao động được ban hành kèm theo Thông tư này. 4. Người sử dụng lao động và các cơ quan, tổ chức liên quan có trách nhiệm thực hiện đầy đủ các chế độ đối với người lao động làm nghề, công việc nặng nhọc, độc hại, nguy hiểm và nghề, công việc đặc biệt nặng nhọc, độc hại, nguy hiểm theo quy định của pháp luật có liên quan. 5. Đối với các nghề, công việc đã được đánh giá, phân loại lao động theo quy định tại khoản 2 Điều này mà không còn đặc điểm, điều kiện lao động đặc trưng của nghề, công việc nặng nhọc, độc hại, nguy hiểm và nghề, công việc đặc biệt nặng nhọc độc hại, nguy hiểm thì người sử dụng lao động không phải thực hiện các chế độ đối với người lao động làm nghề, công việc nặng nhọc, độc hại, nguy hiểm và nghề, công việc đặc biệt nặng nhọc độc hại, nguy hiểm, sau khi có ý kiến của Bộ Lao động – Thương binh và Xã hội.
|
|
|
PHỤ LỤC I HỆ THỐNG CHỈ TIÊU VỀ ĐIỀU KIỆN LAO ĐỘNG VÀ CÁCH TÍNH ĐIỂM |
PHỤ LỤC I HỆ THỐNG CHỈ TIÊU VỀ ĐIỀU KIỆN LAO ĐỘNG VÀ CÁCH TÍNH ĐIỂM
|
|
| Một số điểm lưu ý khi sử dụng bảng chỉ tiêu:1. Các số liệu của nhóm yếu tố đánh giá về vệ sinh môi trường lao động, Ecgônômi – tổ chức lao động cần được tập hợp ở 3 thời điểm thích hợp.
2. Các số liệu của nhóm yếu tố đánh giá tác động về tâm sinh lý lao động cần được tập hợp cùng một ca (đối với trường hợp có nhiều ca trong ngày) ở 3 thời điểm thích hợp. 3. Các chỉ tiêu tâm sinh lý cần được thu thập từ những thử nghiệm có thiết kế hợp lý và dụng cụ phương tiện đảm bảo độ chính xác theo yêu cầu.
|
Một số điểm lưu ý khi sử dụng bảng chỉ tiêu:1. Về nhiệt độ: các nghề, công việc làm trong phòng điều hòa hoặc ở những nơi có hệ thống cấp lạnh được đánh giá theo hai giải nhiệt độ.
2. Các số liệu về yếu tố vật lý, hóa học, sinh học cần được tập hợp ở 3 thời điểm thích hợp. 3. Các chỉ tiêu tâm sinh lý cần được thu thập từ những thử nghiệm có thiết kế hợp lý và dụng cụ phương tiện đảm bảo độ chính xác theo yêu cầu.
|



Bài viết liên quan: